ФГБОУ ВО "Пензенский государственный университет"
Кафедра «Всеобщая история и обществознание»
Официальный сайт
Меню
Личный кабинет
Авторизация на сайте
Обращаем Ваше внимание, что логин для входа на сайт ПГУ может начинаться только со строчной (маленькой) латинской буквы
Если вы забыли пароль, воспользуйтесь
страницей восстановления пароля
.
Пожалуйста, заполните поля для входа
Забыли пароль?
РЕГИСТРАЦИЯ АБИТУРИЕНТА
Историко-филологический факультет
ПГУ
Новости
Главная
»
Новости
»
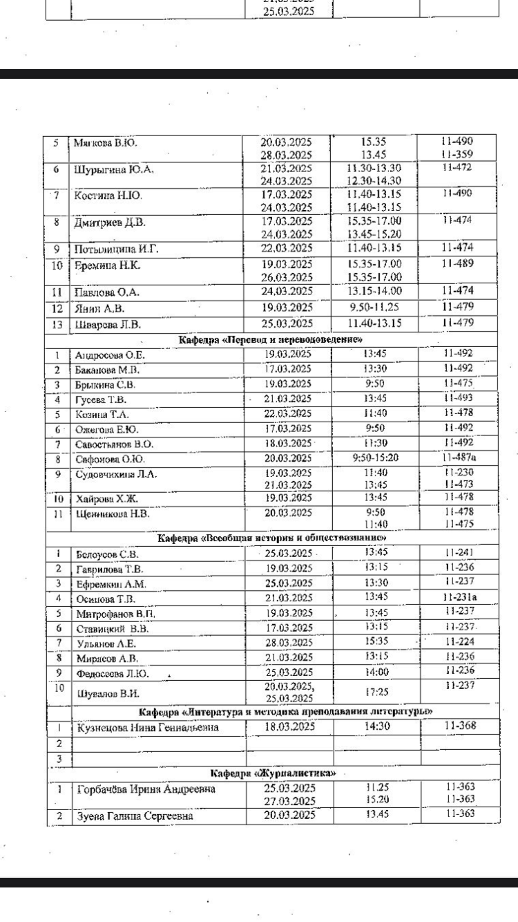
График ликвидации академических задолженностей на март 2025 года
График ликвидации академических задолженностей на март 2025 года
19.03.2025 10:17
Версия для печати
График ликвидации академических задолженностей на март 2025 года
Образование
Все новости »
» Последнее в рубрике:
22.11.2025 23:05
Т. В. Гаврилова, доцент кафедры ВИиО, в сентябре-октябре 2025 года приняла участие в проведении ряда профориентационных мероприятий
02.10.2025 09:51
30 сентября 2025 года в рамках программы по профориентационной работе проф. кафедры ВИиО В.И. Шувалов вместе с коллегами из ПГУ посетил г. Каменку
12.04.2025 19:36
5 апреля 2025 года студенты группы 20ИПО1: Митрошина Анастасия, Митрошин Илья, Горохова Дарья (научный руководитель - к.и.н., доцент кафедры ВИиО Семина Наталья Викторовна) приняли участие в финале Всероссийской олимпиады "Я-профессионал" по направлению "История и культура России (бакалавриат)", который проходил в Казани
12.04.2025 19:16
На сайте Министерства образования Пензенской области опубликована полная версия встречи председателей региональных предметных комиссий ЕГЭ по истории и обществознанию со школьниками, в которой приняла участие Людмила Юрьевна Федосеева, доцент кафедры всеобщей истории и обществознания (председатель региональной комиссии по обществознанию)
20.03.2025 08:14
10 марта в г. Москве состоялось Всероссийское совещание председателей предметных комиссий ЕГЭ по обществознанию, Пензенскую область представляла доцент кафедры ВИиО Л.Ю. Федосеева
19.03.2025 10:17
График ликвидации академических задолженностей на март 2025 года
14.03.2025 09:16
В марте 2025 года состоялись профориентационные мероприятия в учебных заведениях г. Пензы и Пензенской области: в гимназии 4 "Ступени", Классической гимназии 1 им. В.Г. Белинского , МБОУ СОШ 28 им. В.О. Ключевского, МБОУ СОШ им. Ермина (с. Засечное). Организатор - к.и.н., доцент кафедры ВИиО Семина Наталья Викторовна.
10.02.2025 10:21
7 февраля 2025 г. доцент кафедры А.М. Ефремкин принял участие в XXIX Научно-практической конференции школьников г. Пензы в качестве сопредседателя секции "История (в т.ч. краеведение)" для 8-11 классов
10.02.2025 10:05
7 февраля 2025 года на базе МБОУ СОШ № 79 г. Пензы состоялся очный этап научно-практической конференции школьников "Я исследую мир", где в секции "Социально-политические науки" председателем выступила кандидат исторических наук, доцент кафедры ВИиО Семина Наталья Викторовна (онлайн формат)
05.02.2025 20:44
31 января 2025 г. состоялась XV Городская открытая олимпиада школьников по обществознанию памяти В.О. Ключевского
Рубрики:
Все новости
Образование
Наука
Экспертиза
Университетская жизнь
Знай наших!
Творчество
International
Партнерство
Коллектив
Абитуриенты
Трудоустройство
Голос
Год педагога и наставника
ГЛАВНАЯ
О КАФЕДРЕ
ЗАВЕДУЮЩИЙ КАФЕДРОЙ
ИСТОРИЯ КАФЕДРЫ
ПРЕПОДАВАТЕЛИ
ПОЛОЖЕНИЕ О КАФЕДРЕ
ПРОГРАММА РАЗВИТИЯ КАФЕДРЫ
МАТЕРИАЛЬНО-ТЕХНИЧЕСКАЯ БАЗА
АРХЕОЛОГИЧЕСКАЯ ЛАБОРАТОРИЯ
НАУЧНО-ИССЛЕДОВАТЕЛЬСКАЯ И ИННОВАЦИОННАЯ ДЕЯТЕЛЬНОСТЬ
ОСНОВНЫЕ НАПРАВЛЕНИЯ НАУЧНО-ИССЛЕДОВАТЕЛЬСКОЙ РАБОТЫ
РЕЗУЛЬТАТЫ НАУЧНО-ИССЛЕДОВАТЕЛЬСКОЙ И ИННОВАЦИОННОЙ ДЕЯТЕЛЬНОСТИ
ОБЪЕМ НАУЧНО-ИССЛЕДОВАТЕЛЬСКИХ РАБОТ
УЧАСТИЕ ПРЕПОДАВАТЕЛЕЙ В НАУЧНЫХ КОНФЕРЕНЦИЯХ
УЧЕБНО-МЕТОДИЧЕСКАЯ ДЕЯТЕЛЬНОСТЬ
ПЕРЕЧЕНЬ ОПОП ВО
УЧЕБНЫЕ ДИСЦИПЛИНЫ, ОБЕСПЕЧИВАЕМЫЕ КАФЕДРОЙ
НАУЧНО-ОБРАЗОВАТЕЛЬНЫЙ ПРОЕКТ EARLY MODERN ENGLAND
РАСПИСАНИЕ РАБОТЫ ПРЕПОДАВАТЕЛЕЙ
АБИТУРИЕНТАМ
СТУДЕНТАМ
ГРАФИК УЧЕБНОГО ПРОЦЕССА
РАСПИСАНИЕ ЗВОНКОВ
РАСПИСАНИЕ ЗАНЯТИЙ
АРХЕОЛОГИЧЕСКАЯ ПРАКТИКА
УЧЕБНО-МЕТОДИЧЕСКИЕ ПОСОБИЯ И ИНФОРМАЦИЯ С ОТКРЫТЫМ ДОСТУПОМ
АСПИРАНТАМ И СОИСКАТЕЛЯМ
НАУЧНЫЕ СТУДЕНЧЕСКИЕ ОБЩЕСТВА
СТУДЕНЧЕСКОЕ АРХЕОЛОГИЧЕСКОЕ ОБЩЕСТВО
СТУДЕНЧЕСКОЕ ОБЩЕСТВО ПО ИЗУЧЕНИЮ ВОЕННОЙ ИСТОРИИ
АРХЕОЛОГИЧЕСКИЕ ЭКСПЕДИЦИИ
ВЕСТНИК ВОЕННО-ИСТОРИЧЕСКИХ ИССЛЕДОВАНИЙ
ЛЕБЕДЕВСКИЕ ЧТЕНИЯ
ГРАФИК РАБОТЫ И КОНТАКТЫ
НАШИ ПАРТНЕРЫ
ПРОФОРИЕНТАЦИЯ
ТРУДОУСТРОЙСТВО
НАШИ ВЫПУСКНИКИ
СОТРУДНИКИ
ТЕЛЕФОННЫЙ СПРАВОЧНИК
КОНТАКТЫ